Mikel Miller’s favorite equationReturn to main article: "Mikel Miller: Science, Service, and Family"
COMPASS POINTS
GNSS event that most signified to you that GNSS had ‘arrived’
Testing of the initial handheld units from vendors such as Trimble’s two-channel GPS receiver and Rockwell Collins’ PLGR. “We thought, ‘What an amazing capability to have a handheld device that all you had to do was turn it on and it told you where you were – wow!’”
Return to main article: "Mikel Miller: Science, Service, and Family"
COMPASS POINTS
GNSS event that most signified to you that GNSS had ‘arrived’
Testing of the initial handheld units from vendors such as Trimble’s two-channel GPS receiver and Rockwell Collins’ PLGR. “We thought, ‘What an amazing capability to have a handheld device that all you had to do was turn it on and it told you where you were – wow!’”
What popular notions about GNSS most annoy you?
Miller believes we take GNSS too much for granted. “Actually,” he says, “we are at a point in history where we are as dependent on PNT as we are on communications — it’s like oxygen — we [can’t live without it].”
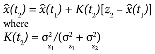
Favorite equation
Mikel Miller loves the fundamental Kalman Filter: (see inset photo, above right)
As a consumer, what GNSS product, application, or engineering innovation would you most like to see?
Miller says he’s really eager to see “connected cars.” “The majority of car accidents are a result of human error,” he points out. “Automobiles with auto-assist collision avoidance capabilities and the ability for cars to communicate their position, speed and direction with each other could enable collision avoidance as well, especially in those situations where cars cannot see each other due to visual obstructions and road curves.”
Engineering mentor – not necessarily an engineer
Back in High School in Williston, North Dakota, two teachers made lasting impression on a young Mikel Miller — his math teacher, Mr. Degele, and his chemistry teacher, Mr. Ceglowski. “Both had such a love and passion for their subjects. They taught with such enthusiasm and clarity — it made both subjects mean so much more to me.” Later, he says, Dr. Peter Maybeck was probably the most influential mentor in his professional life. “He also had a strong impact in my personal life. The way he treated and interacted with people was his greatest strength and blessing. He had a unique way of making you feel at ease and you always felt like you were the most important person in the room when your were with him.”






