Jade Morton’s favorite equationReturn to main article: "Jade Morton: The Long and Scintillating Road"
COMPASS POINTS
Engineering specialties
GNSS receiver data collection systems, GNSS receiver signal processing, GNSS for remote sensing of atmosphere and ionosphere, new navigation applications and technologies.
GNSS event that most signified to you that GNSS had ‘arrived’
Return to main article: "Jade Morton: The Long and Scintillating Road"
COMPASS POINTS
Engineering specialties
GNSS receiver data collection systems, GNSS receiver signal processing, GNSS for remote sensing of atmosphere and ionosphere, new navigation applications and technologies.
GNSS event that most signified to you that GNSS had ‘arrived’
When President Barack Obama, in his in his 2011 State of the Union speech compared GPS to computer chips and the Internet.
Role Model
Her grandmother, a “very hands-on capable woman who was not afraid to try new things.”
Engineering mentor
Jade Morton acknowledges several mentors, without whom, she says, she would not be where she is today, including James B. Y. Tsui, Frank van Graas, Mikel Miller, A.J. van Dierendonck, John Betz, Per Enge, and James Spilker Jr.
What popular notions about GNSS most annoy you?
“I often hear people blaming GPS when their navigation devices, such as the navigation app in their cell phones, are not working correctly. People should realize that it is often not the GPS that caused the problem, but the guidance algorithms or the maps that are incorrect.”
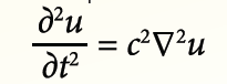
Favorite equation
Morton’s favorite equation is the wave propagation equation. “GPS signals are radio waves,” Morton explains, “and this equation governs how the signals travel from satellites to our receivers and all of the troubles it encounters along the way. In fact, it describes all sorts of waves. It is an equation that connects time and space.”
(see inset photo, above right)
u represents a wave field, t is time, c is the speed of the wave (for radio waves and light traveling in vacuum, c is the speed of light), and the upside-down triangle is the spatial Laplacian operator.






